- 銷售熱線:0632-5113088
- 銷售熱線:0632-5113088
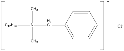
十二烷基二甲基芐基氯化銨 1227
Dodecyl Dimethyl Benzyl ammonium Chloride 1227
CAS No.139-07-1
分子式:C21H38NCl 相對分子質量:340.00
一、性能與用途
1227是一種陽離子表面活性劑,屬非氧化性殺菌劑,具有廣譜、高效的殺菌滅藻能力,能有效地控制水中菌藻繁殖和粘泥生長,并具有良好的粘泥剝離作用和一定的分散、滲透作用,同時具有一定的去油、除臭能力和緩蝕作用。
1227毒性小,無積累性毒性,并易溶于水,并不受水硬度影響,因此廣泛應用于石油、化工、電力、紡織等行業的循環冷卻水系統中,用以控制循環冷卻水系統菌藻滋生,對殺滅硫酸鹽還原菌有特效。
1227可作為紡織印染行業的殺菌防霉劑及柔軟劑、抗靜電劑、乳化劑、調理劑等。
二、技術指標 符合HG/T 2230—2006
| 項 目 | 指 標 | |
| HG/T 2230-2006 | -- | |
| 外 觀 | 無色至微黃色透明液體 | 淡黃色透明液體 |
| 活性物含量 /% | ≥44.0 | ≥80.0 |
| 銨鹽含量 /% | ≤1.0 | ≤1.0 |
| pH值(1%水溶液) | 6.0~8.0 (原液) | 6.0~8.0 |
三、使用方法
1227作殺菌滅藻劑,一般投加劑量為50-100mg/L;作粘泥剝離劑,使用量為200-300mg/L,需要時可投加適量有機硅類消泡劑。1227可與其它殺菌劑,例如異噻唑啉酮、戊二醛、二硫氰基甲烷等配合使用,可起到增效作用,但不能與氯酚類藥劑共同使用。投加1227后循環水中因剝離而出現污物,應及時濾除或撈出,以免泡沫消失后沉積。
1227切勿與陰離子表面活性劑如聚丙烯酸、水解聚馬等混用。
四、包裝與貯存
1227使用塑料桶包裝,每桶25kg或200 kg;80%含量的為190kg/桶。1227貯于室內陰涼通風處,貯存期為一年。
五、安全與防護
1227略有杏仁味,對皮膚無明顯刺激,接觸皮膚時,用水沖洗即可。
地址:山東省棗莊市市中區十里泉東路1號 網址:http://m.bangde007.com E-mail:th@thwater.com
版權所有© :2006-2021 山東泰和科技股份有限公司 魯ICP備09091669號-43

